Πληροφορίες Σεισμού
 Χρόνος Γένεσης
2023-02-18 20:14:32 (GMT)
 Μέγεθος
M 4.5
 Γεωγρ. Πλάτος
37.3887° Β
 Γεωγρ. Μήκος
20.7705° Α
 Εστιακό Βάθος
12 χμ
 Αρ. αφίξεων
85
 Επίκεντρο 46.1 χμ ΝΝΔ της Ζακύνθου
68.3 χμ ΔΝΔ του Πύργου
269.0 χμ ΔΝΔ της Αθήνας
 Τύπος Λύσης
Χειρακτική (από αναλυτή)
 Αρχεία / Σύνδεσμοι
QuakeML  GSE2.0  Alert  .phi  ShakeMap  Μηχ.Γέν.
  

  Μηχανισμός Γένεσης

Μηχ.Γεν. Παράταξη (°) Κλίση (°) Γων.Ολίσθ. (°) Σεισμ.Ροπή (dyn*cm)
3014160 9.89E+22

Γεωγρ.Πλάτος (°Β) Γεωγρ.Μήκος (°Α) Βάθος (χμ) Μέγεθος Mw
37.342920.55035.04.6

Υπολογισμός εστιακών παραμέτρων

Κλικ εδώ για λεπτομέρειες μηχανισμού γένεσης


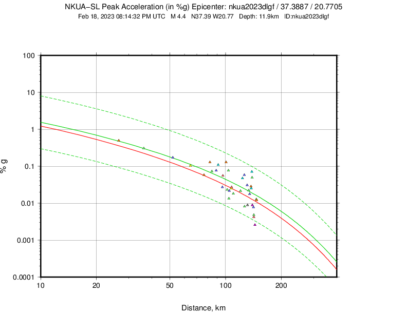
  Χάρτης εντάσεως


PGA
PGV
MI

Αρχεία: Google Earth (.kmz), Measurements (.csv)


  Δεδομένα σταθμών

StationNetDist.(km)Azim.PhaseArr.TimeRes.Wgt.Type
STRFHT26.9126 P20:14:37.31 0.11.0M
STRFHT26.9126 S20:14:41.81 0.71.0M
LTHKHP36.1 9 P20:14:38.44 -0.31.0M
LTHKHP36.1 9 S20:14:43.70 -0.11.0M
ORTHHL51.8353 P20:14:41.11 -0.21.0M
ORTHHL51.8353 S20:14:48.26 0.01.0M
GR281Y64.5 30 P20:14:42.83 -0.41.0M
GR281Y64.5 30 S20:14:51.34 -0.41.0M
RTZLHT76.4 0 P20:14:44.85 -0.31.0M
RTZLHT76.4 0 S20:14:55.21 0.11.0M
PSDAHT82.3348 P20:14:45.98 -0.11.0M
PSDAHT82.3348 S20:14:57.35 0.71.0M
AMTHP84.4 79 P20:14:46.51 0.01.0M
AMTHP84.4 79 S20:14:57.62 0.21.0M
VLSHL89.1350 P20:14:46.90 -0.31.0M
VLSHL89.1350 S20:14:59.24 0.61.0M
LX11HA94.8342 P20:14:48.55 0.51.0M
LX11HA94.8342 S20:15:00.93 0.81.0M
RLSHL96.1 40 P20:14:47.70 -0.61.0M
RLSHL96.1 40 S20:15:00.74 0.21.0M
DMLNHT100.7340 P20:14:49.30 0.31.0M
DMLNHT100.7340 S20:15:02.86 1.01.0M
PYLHP102.1122 P20:14:48.63 -0.61.0M
PYLHP102.1122 S20:15:03.07 0.81.0M
DROHP103.8 53 P20:14:48.94 -0.61.0M
DROHP103.8 53 S20:15:02.94 0.11.0M
AXSHP104.4 31 P20:14:49.03 -0.51.0M
AXSHP104.4 31 S20:15:03.03 0.21.0M
ITMHL104.8103 P20:14:49.71 0.01.0M
ITMHL104.8103 S20:15:03.43 0.31.0M
GR291Y107.5 71 P20:14:49.60 -0.51.0M
GR291Y107.5 71 S20:15:03.88 0.01.0M
ATHRHA107.8343 P20:14:49.96 -0.11.0M
ATHRHA107.8343 S20:15:04.76 1.01.0M
VALYHP110.2103 P20:14:50.15 -0.31.0M
VALYHP110.2103 S20:15:05.03 0.51.0M
FSKHP120.4351 P20:14:51.73 -0.31.0M
FSKHP120.4351 S20:15:07.86 0.71.0M
MSL1HI123.5 28 P20:14:52.49 0.01.0M
MSL1HI123.5 28 S20:15:08.33 0.31.0M
PLEVHP126.8 26 P20:14:52.88 -0.11.0M
PLEVHP126.8 26 S20:15:09.32 0.41.0M
PATCHL130.9 42 P20:14:53.99 0.31.0M
PATCHL130.9 42 S20:15:10.29 0.21.0M
KTRSHC131.5113 P20:14:53.66 -0.11.0M
KTRSHC131.5113 S20:15:11.15 0.91.0M
UPRHP133.6 42 P20:14:54.78 0.71.0M
UPRHP133.6 42 S20:15:10.88 0.11.0M
KLV1HI137.7 59 P20:14:54.08 -0.71.0M
KLV1HI137.7 59 S20:15:11.95 -0.11.0M
PDOHP139.3 15 P20:14:54.74 -0.21.0M
PDOHP139.3 15 S20:15:12.57 0.31.0M
KLVHL141.5 59 P20:14:54.60 -0.81.0M
KLVHL141.5 59 S20:15:12.98 -0.21.0M
VLXHP142.2 91 P20:14:55.64 0.11.0M
VLXHP142.2 91 S20:15:13.58 0.21.0M
LAKAHA142.2 48 P20:14:55.01 -0.41.0M
LAKAHA142.2 48 S20:15:13.26 0.01.0M
AIOACL144.3 52 P20:14:55.21 -0.51.0M
AIOACL144.3 52 S20:15:13.92 0.21.0M
VVKHP146.8 39 P20:14:55.63 -0.51.0M
VVKHP146.8 39 S20:15:14.77 0.31.0M
NYDRHT147.4358 P20:14:55.59 -0.51.0M
NYDRHT147.4358 S20:15:15.24 0.81.0M
TEMECL151.0 52 P20:14:56.48 -0.21.0M
TEMECL151.0 52 S20:15:15.33 -0.21.0M
GURHP151.2 66 P20:14:56.07 -0.91.0M
GURHP151.2 66 S20:15:15.81 0.01.0M
PVOHP151.7 26 P20:14:56.87 0.11.0M
PVOHP151.7 26 S20:15:16.05 0.41.0M
EFPHP152.5 41 P20:14:56.40 -0.61.0M
LKD2HT156.0356 P20:14:57.25 -0.31.0M
LKD2HT156.0356 S20:15:17.05 0.21.0M
TRIZCL157.7 47 P20:14:57.70 -0.11.0M
TRIZCL157.7 47 S20:15:17.59 0.31.0M
GR311Y160.0104 P20:14:58.60 0.41.0M
GR311Y160.0104 S20:15:18.10 0.11.0M
TSLKHT160.0356 P20:14:58.14 0.11.0M
GR301Y160.2 85 P20:14:58.18 0.01.0M
GR301Y160.2 85 S20:15:17.92 -0.21.0M
KALEHA163.9 47 P20:14:58.64 -0.11.0M
ANXHP167.6 37 P20:14:58.71 -0.51.0M
ANXHP167.6 37 S20:15:19.34 -0.51.0M
AMPLHP174.9 13 P20:14:59.81 -0.21.0M
AMPLHP174.9 13 S20:15:21.41 0.21.0M


  Λεπτομέρειες λύσης

Event:
    Public ID              nkua2023dlgf
    Description
      region name: Ionian Sea
Origin:
    Date                   2023-02-18
    Time                  20:14:32.04
    Latitude              37.3887 deg  +/-      1 km
    Longitude             20.7705 deg  +/-      1 km
    Depth                      12 km   +/-    1 km
    Agency                 HA
    Author                 A. Karakonstantis
    Mode                   manual
    Status                 confirmed
    Residual RMS             0.41 s
    Azimuthal gap             214 deg

2 Network magnitudes:
    MLv       4.45 +/- 0.16  37            
    M         4.45           37 preferred  

85 Phase arrivals:
    sta  net   dist azi  phase   time          res     wt  sta
    STRF  HT    0.2 126  P       20:14:37.31   0.1 M  1.0  STRF 
    STRF  HT    0.2 126  S       20:14:41.81   0.7 M  1.0  STRF 
    LTHK  HP    0.3   9  P       20:14:38.44  -0.3 M  1.0  LTHK 
    LTHK  HP    0.3   9  S       20:14:43.70  -0.1 M  1.0  LTHK 
    ORTH  HL    0.5 353  P       20:14:41.11  -0.2 M  1.0  ORTH 
    ORTH  HL    0.5 353  S       20:14:48.26  -0.0 M  1.0  ORTH 
    GR28  1Y    0.6  30  P       20:14:42.83  -0.4 M  1.0  GR28 
    GR28  1Y    0.6  30  S       20:14:51.34  -0.4 M  1.0  GR28 
    RTZL  HT    0.7   0  P       20:14:44.85  -0.3 M  1.0  RTZL 
    RTZL  HT    0.7   0  S       20:14:55.21   0.1 M  1.0  RTZL 
    PSDA  HT    0.7 348  P       20:14:45.98  -0.1 M  1.0  PSDA 
    PSDA  HT    0.7 348  S       20:14:57.35   0.7 M  1.0  PSDA 
    AMT   HP    0.8  79  P       20:14:46.51   0.0 M  1.0  AMT  
    AMT   HP    0.8  79  S       20:14:57.62   0.2 M  1.0  AMT  
    VLS   HL    0.8 350  P       20:14:46.90  -0.3 M  1.0  VLS  
    VLS   HL    0.8 350  S       20:14:59.24   0.6 M  1.0  VLS  
    LX11  HA    0.9 342  P       20:14:48.55   0.5 M  1.0  LX11 
    LX11  HA    0.9 342  S       20:15:00.93   0.8 M  1.0  LX11 
    RLS   HL    0.9  40  P       20:14:47.70  -0.6 M  1.0  RLS  
    RLS   HL    0.9  40  S       20:15:00.74   0.2 M  1.0  RLS  
    DMLN  HT    0.9 340  P       20:14:49.30   0.3 M  1.0  DMLN 
    DMLN  HT    0.9 340  S       20:15:02.86   1.0 M  1.0  DMLN 
    PYL   HP    0.9 122  P       20:14:48.63  -0.6 M  1.0  PYL  
    PYL   HP    0.9 122  S       20:15:03.07   0.8 M  1.0  PYL  
    DRO   HP    0.9  53  P       20:14:48.94  -0.6 M  1.0  DRO  
    DRO   HP    0.9  53  S       20:15:02.94   0.1 M  1.0  DRO  
    AXS   HP    0.9  31  P       20:14:49.03  -0.5 M  1.0  AXS  
    AXS   HP    0.9  31  S       20:15:03.03   0.2 M  1.0  AXS  
    ITM   HL    0.9 103  P       20:14:49.71   0.0 M  1.0  ITM  
    ITM   HL    0.9 103  S       20:15:03.43   0.3 M  1.0  ITM  
    ATHR  HA    1.0 343  P       20:14:49.96  -0.1 M  1.0  ATHR 
    ATHR  HA    1.0 343  S       20:15:04.76   1.0 M  1.0  ATHR 
    GR29  1Y    1.0  71  P       20:14:49.60  -0.5 M  1.0  GR29 
    GR29  1Y    1.0  71  S       20:15:03.88  -0.0 M  1.0  GR29 
    VALY  HP    1.0 103  P       20:14:50.15  -0.3 M  1.0  VALY 
    VALY  HP    1.0 103  S       20:15:05.03   0.5 M  1.0  VALY 
    FSK   HP    1.1 351  P       20:14:51.73  -0.3 M  1.0  FSK  
    FSK   HP    1.1 351  S       20:15:07.86   0.7 M  1.0  FSK  
    MSL1  HI    1.1  28  P       20:14:52.49   0.0 M  1.0  MSL1 
    MSL1  HI    1.1  28  S       20:15:08.33   0.3 M  1.0  MSL1 
    PLEV  HP    1.1  26  P       20:14:52.88  -0.1 M  1.0  PLEV 
    PLEV  HP    1.1  26  S       20:15:09.32   0.4 M  1.0  PLEV 
    PATC  HL    1.2  42  P       20:14:53.99   0.3 M  1.0  PATC 
    PATC  HL    1.2  42  S       20:15:10.29   0.2 M  1.0  PATC 
    KTRS  HC    1.2 113  P       20:14:53.66  -0.1 M  1.0  KTRS 
    KTRS  HC    1.2 113  S       20:15:11.15   0.9 M  1.0  KTRS 
    UPR   HP    1.2  42  P       20:14:54.78   0.7 M  1.0  UPR  
    UPR   HP    1.2  42  S       20:15:10.88   0.1 M  1.0  UPR  
    KLV1  HI    1.2  59  P       20:14:54.08  -0.7 M  1.0  KLV1 
    KLV1  HI    1.2  59  S       20:15:11.95  -0.1 M  1.0  KLV1 
    PDO   HP    1.3  15  P       20:14:54.74  -0.2 M  1.0  PDO  
    PDO   HP    1.3  15  S       20:15:12.57   0.3 M  1.0  PDO  
    KLV   HL    1.3  59  P       20:14:54.60  -0.8 M  1.0  KLV  
    KLV   HL    1.3  59  S       20:15:12.98  -0.2 M  1.0  KLV  
    LAKA  HA    1.3  48  P       20:14:55.01  -0.4 M  1.0  LAKA 
    LAKA  HA    1.3  48  S       20:15:13.26   0.0 M  1.0  LAKA 
    VLX   HP    1.3  91  P       20:14:55.64   0.1 M  1.0  VLX  
    VLX   HP    1.3  91  S       20:15:13.58   0.2 M  1.0  VLX  
    AIOA  CL    1.3  52  P       20:14:55.21  -0.5 M  1.0  AIOA 
    AIOA  CL    1.3  52  S       20:15:13.92   0.2 M  1.0  AIOA 
    VVK   HP    1.3  39  P       20:14:55.63  -0.5 M  1.0  VVK  
    VVK   HP    1.3  39  S       20:15:14.77   0.3 M  1.0  VVK  
    NYDR  HT    1.3 358  P       20:14:55.59  -0.5 M  1.0  NYDR 
    NYDR  HT    1.3 358  S       20:15:15.24   0.8 M  1.0  NYDR 
    TEME  CL    1.4  52  P       20:14:56.48  -0.2 M  1.0  TEME 
    TEME  CL    1.4  52  S       20:15:15.33  -0.2 M  1.0  TEME 
    GUR   HP    1.4  66  P       20:14:56.07  -0.9 M  1.0  GUR  
    GUR   HP    1.4  66  S       20:15:15.81  -0.0 M  1.0  GUR  
    PVO   HP    1.4  26  P       20:14:56.87   0.1 M  1.0  PVO  
    PVO   HP    1.4  26  S       20:15:16.05   0.4 M  1.0  PVO  
    EFP   HP    1.4  41  P       20:14:56.40  -0.6 M  1.0  EFP  
    LKD2  HT    1.4 356  P       20:14:57.25  -0.3 M  1.0  LKD2 
    LKD2  HT    1.4 356  S       20:15:17.05   0.2 M  1.0  LKD2 
    TRIZ  CL    1.4  47  P       20:14:57.70  -0.1 M  1.0  TRIZ 
    TRIZ  CL    1.4  47  S       20:15:17.59   0.3 M  1.0  TRIZ 
    TSLK  HT    1.4 356  P       20:14:58.14   0.1 M  1.0  TSLK 
    GR31  1Y    1.4 104  P       20:14:58.60   0.4 M  1.0  GR31 
    GR31  1Y    1.4 104  S       20:15:18.10   0.1 M  1.0  GR31 
    GR30  1Y    1.4  85  P       20:14:58.18  -0.0 M  1.0  GR30 
    GR30  1Y    1.4  85  S       20:15:17.92  -0.2 M  1.0  GR30 
    KALE  HA    1.5  47  P       20:14:58.64  -0.1 M  1.0  KALE 
    ANX   HP    1.5  37  P       20:14:58.71  -0.5 M  1.0  ANX  
    ANX   HP    1.5  37  S       20:15:19.34  -0.5 M  1.0  ANX  
    AMPL  HP    1.6  13  P       20:14:59.81  -0.2 M  1.0  AMPL 
    AMPL  HP    1.6  13  S       20:15:21.41   0.2 M  1.0  AMPL 

44 Station magnitudes:
    sta  net   dist azi  type   value   res        amp per
    STRF  HT    0.2 126  MLv     4.38 -0.07    413.128      
    LTHK  HP    0.3   9  MLv     4.30 -0.14    199.943      
    ORTH  HL    0.5 353  MLv     4.35 -0.09    91.0943      
    GR28  1Y    0.6  30  MLv     4.75  0.31    134.239      
    RTZL  HT    0.7   0  MLv     4.33 -0.12    44.1185      
    PSDA  HT    0.7 348  MLv     4.48  0.04    59.2317      
    AMT   HP    0.8  79  MLv     4.62  0.17    78.5314      
    VLS   HL    0.8 350  MLv     4.61  0.17    73.6111      
    LX11  HA    0.9 342  MLv     4.87  0.43    125.352      
    RLS   HL    0.9  40  MLv     4.45  0.01    47.0697      
    DMLN  HT    0.9 340  MLv     4.47  0.03    64.6001      
    PYL   HP    0.9 122  MLv     4.43 -0.01     13.348      
    DRO   HP    0.9  53  MLv     4.33 -0.11    68.4121      
    AXS   HP    0.9  31  MLv     4.27 -0.18    27.9305      
    ITM   HL    0.9 103  MLv     4.41 -0.04    38.4401      
    ATHR  HA    1.0 343  MLv     4.62  0.17    59.9115      
    GR29  1Y    1.0  71  MLv     4.50  0.05    45.5836      
    VALY  HP    1.0 103  MLv     4.22 -0.22      23.62      
    FSK   HP    1.1 351  MLv     4.40 -0.04    31.6805      
    MSL1  HI    1.1  28  MLv     4.71  0.27    62.2834      
    PLEV  HP    1.1  26  MLv     4.34 -0.11    25.2178      
    PATC  HL    1.2  42  MLv     4.86  0.42    81.1483      
    KTRS  HC    1.2 113  MLv     4.00 -0.44    11.0707      
    UPR   HP    1.2  42  MLv     3.97 -0.47    115.793      
    KLV1  HI    1.2  59  MLv     4.60  0.15    40.6219      
    PDO   HP    1.3  15  MLv     4.56  0.11    36.3947      
    KLV   HL    1.3  59  MLv     4.59  0.15    29.1793      
    LAKA  HA    1.3  48  MLv     3.97 -0.47    9.13082      
    VLX   HP    1.3  91  MLv     3.94 -0.50    8.55262      
    AIOA  CL    1.3  52  MLv     4.36 -0.09    5.59644      
    VVK   HP    1.3  39  MLv     3.75 -0.69    24.4366      
    NYDR  HT    1.3 358  MLv     4.51  0.07     21.589      
    TEME  CL    1.4  52  MLv     4.28 -0.16    5.59058      
    GUR   HP    1.4  66  MLv     4.56  0.12    31.9894      
    PVO   HP    1.4  26  MLv     4.44 -0.01    23.8366      
    EFP   HP    1.4  41  MLv     3.84 -0.60    6.01042      
    LKD2  HT    1.4 356  MLv     4.63  0.19    35.6258      
    TRIZ  CL    1.4  47  MLv     4.16 -0.29    11.7398      
    TSLK  HT    1.4 356  MLv     4.55  0.11    28.5148      
    GR31  1Y    1.4 104  MLv     4.43 -0.02    21.2948      
    GR30  1Y    1.4  85  MLv     4.26 -0.18    14.5168      
    KALE  HA    1.5  47  MLv     4.38 -0.07    18.0378      
    ANX   HP    1.5  37  MLv     4.59  0.14    28.0916      
    AMPL  HP    1.6  13  MLv     4.60  0.15    26.6697