Πληροφορίες Σεισμού
 Χρόνος Γένεσης
2023-01-10 07:38:31 (GMT)
 Μέγεθος
M 4.8
 Γεωγρ. Πλάτος
39.3311° Β
 Γεωγρ. Μήκος
26.2355° Α
 Εστιακό Βάθος
11 χμ
 Αρ. αφίξεων
54
 Επίκεντρο 18.3 χμ Β της Μυτιλήνης
106.6 χμ ΝΑ της Λήμνου
263.9 χμ ΒΑ της Αθήνας
 Τύπος Λύσης
Χειρακτική (από αναλυτή)
 Αρχεία / Σύνδεσμοι
QuakeML  GSE2.0  Alert  .phi  ShakeMap  Μηχ.Γέν.
  

  Μηχανισμός Γένεσης

Μηχ.Γεν. Παράταξη (°) Κλίση (°) Γων.Ολίσθ. (°) Σεισμ.Ροπή (dyn*cm)
6079-166 2.49E+23

Γεωγρ.Πλάτος (°Β) Γεωγρ.Μήκος (°Α) Βάθος (χμ) Μέγεθος Mw
39.363426.23789.04.9

Υπολογισμός εστιακών παραμέτρων

Κλικ εδώ για λεπτομέρειες μηχανισμού γένεσης


  Χάρτης εντάσεως


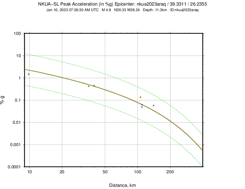
PGA
PGV
MI

Αρχεία: Google Earth (.kmz), Measurements (.csv)


  Δεδομένα σταθμών

StationNetDist.(km)Azim.PhaseArr.TimeRes.Wgt.Type
PRKHL9.8165 P07:38:33.78 -0.31.0M
PRKHL9.8165 S07:38:36.65 0.11.0M
SIGRHT35.3248 P07:38:37.96 0.01.0M
SIGRHT35.3248 S07:38:43.00 -0.41.0M
MYT1HI39.7133 P07:38:38.62 0.01.0M
MYT1HI39.7133 S07:38:44.36 -0.21.0M
CHOSHT106.2189 P07:38:49.34 0.51.0M
EFSAHL109.6283 P07:38:49.61 0.11.0M
EFSAHL109.6283 S07:39:04.02 0.81.0M
LIAHL110.1305 P07:38:49.40 -0.11.0M
LIAHL110.1305 S07:39:03.93 0.61.0M
SMTHHL140.3335 P07:38:53.25 -0.31.0M
SMTHHL140.3335 S07:39:11.08 0.41.0M
KRL1HI175.6166 P07:38:58.94 0.81.0M
SMGHL188.3164 P07:39:00.55 0.71.0M
THASHT191.8318 P07:39:00.15 -0.21.0M
THASHT191.8318 S07:39:23.72 0.71.0M
AOS2HT207.0265 P07:39:02.54 0.21.0M
AOS2HT207.0265 S07:39:26.77 0.11.0M
RDOHL210.3344 P07:39:02.36 -0.31.0M
RDOHL210.3344 S07:39:27.74 0.51.0M
KARYHA212.7228 P07:39:02.37 -0.61.0M
KARYHA212.7228 S07:39:28.32 0.51.0M
GR041Y212.9330 P07:39:02.86 -0.21.0M
GR041Y212.9330 S07:39:28.22 0.41.0M
GR271Y215.5234 P07:39:03.21 -0.21.0M
GR271Y215.5234 S07:39:29.07 0.51.0M
PAIGHT229.2288 P07:39:04.91 -0.21.0M
PAIGHT229.2288 S07:39:31.28 -0.41.0M
GR031Y232.6331 P07:39:04.93 -0.61.0M
GR031Y232.6331 S07:39:32.27 0.01.0M
KVLAHL237.9319 P07:39:05.79 -0.41.0M
KVLAHL237.9319 S07:39:33.59 0.11.0M
MRKAHA239.2254 P07:39:05.97 -0.41.0M
MRKAHA239.2254 S07:39:33.65 -0.31.0M
MRTHHA240.2237 P07:39:06.30 -0.21.0M
MRTHHA240.2237 S07:39:33.87 -0.21.0M
PTLHL250.5236 P07:39:07.45 -0.31.0M
PTLHL250.5236 S07:39:36.35 0.01.0M
APEHL258.7194 P07:39:08.56 -0.11.0M
APEHL258.7194 S07:39:38.50 0.41.0M
NAX1HI259.1197 P07:39:09.01 0.31.0M
NAX1HI259.1197 S07:39:37.65 -0.51.0M
NEOHL259.3270 P07:39:09.18 0.31.0M
GR091Y262.6305 P07:39:09.46 0.21.0M
GR091Y262.6305 S07:39:38.75 -0.31.0M
PLGHL264.9297 P07:39:10.18 0.61.0M
PLGHL264.9297 S07:39:39.19 -0.41.0M
GR261Y265.6248 P07:39:09.34 -0.31.0M
GR261Y265.6248 S07:39:40.06 0.31.0M
PRASHL266.3328 P07:39:09.32 -0.31.0M
PRASHL266.3328 S07:39:39.08 -0.71.0M
STFNHA266.4242 P07:39:10.03 0.31.0M
STFNHA266.4242 S07:39:39.39 -0.61.0M


  Λεπτομέρειες λύσης

Event:
    Public ID              nkua2023araq
    Description
      region name: Turkey
Origin:
    Date                   2023-01-10
    Time                  07:38:30.58  +/-    0.2 s
    Latitude              39.3311 deg  +/-      1 km
    Longitude             26.2355 deg  +/-      2 km
    Depth                      11 km   +/-    1 km
    Agency                 HA
    Author                 A. Karakonstantis
    Mode                   manual
    Status                 confirmed
    Residual RMS             0.40 s
    Azimuthal gap             150 deg

2 Network magnitudes:
    MLv       4.76 +/- 0.14  24            
    M         4.76           24 preferred  

54 Phase arrivals:
    sta  net   dist azi  phase   time          res     wt  sta
    PRK   HL    0.1 165  P       07:38:33.78  -0.3 M  1.0  PRK  
    PRK   HL    0.1 165  S       07:38:36.65   0.1 M  1.0  PRK  
    SIGR  HT    0.3 248  P       07:38:37.96  -0.0 M  1.0  SIGR 
    SIGR  HT    0.3 248  S       07:38:43.00  -0.4 M  1.0  SIGR 
    MYT1  HI    0.4 133  P       07:38:38.62  -0.0 M  1.0  MYT1 
    MYT1  HI    0.4 133  S       07:38:44.36  -0.2 M  1.0  MYT1 
    CHOS  HT    1.0 189  P       07:38:49.34   0.5 M  1.0  CHOS 
    EFSA  HL    1.0 283  P       07:38:49.61   0.1 M  1.0  EFSA 
    EFSA  HL    1.0 283  S       07:39:04.02   0.8 M  1.0  EFSA 
    LIA   HL    1.0 305  P       07:38:49.40  -0.1 M  1.0  LIA  
    LIA   HL    1.0 305  S       07:39:03.93   0.6 M  1.0  LIA  
    SMTH  HL    1.3 335  P       07:38:53.25  -0.3 M  1.0  SMTH 
    SMTH  HL    1.3 335  S       07:39:11.08   0.4 M  1.0  SMTH 
    KRL1  HI    1.6 166  P       07:38:58.94   0.8 M  1.0  KRL1 
    SMG   HL    1.7 164  P       07:39:00.55   0.7 M  1.0  SMG  
    THAS  HT    1.7 318  P       07:39:00.15  -0.2 M  1.0  THAS 
    THAS  HT    1.7 318  S       07:39:23.72   0.7 M  1.0  THAS 
    AOS2  HT    1.9 265  P       07:39:02.54   0.2 M  1.0  AOS2 
    AOS2  HT    1.9 265  S       07:39:26.77   0.1 M  1.0  AOS2 
    RDO   HL    1.9 344  P       07:39:02.36  -0.3 M  1.0  RDO  
    RDO   HL    1.9 344  S       07:39:27.74   0.5 M  1.0  RDO  
    GR04  1Y    1.9 330  P       07:39:02.86  -0.2 M  1.0  GR04 
    GR04  1Y    1.9 330  S       07:39:28.22   0.4 M  1.0  GR04 
    KARY  HA    1.9 228  P       07:39:02.37  -0.6 M  1.0  KARY 
    KARY  HA    1.9 228  S       07:39:28.32   0.5 M  1.0  KARY 
    GR27  1Y    1.9 234  P       07:39:03.21  -0.2 M  1.0  GR27 
    GR27  1Y    1.9 234  S       07:39:29.07   0.5 M  1.0  GR27 
    PAIG  HT    2.1 288  P       07:39:04.91  -0.2 M  1.0  PAIG 
    PAIG  HT    2.1 288  S       07:39:31.28  -0.4 M  1.0  PAIG 
    GR03  1Y    2.1 331  P       07:39:04.93  -0.6 M  1.0  GR03 
    GR03  1Y    2.1 331  S       07:39:32.27  -0.0 M  1.0  GR03 
    KVLA  HL    2.1 319  P       07:39:05.79  -0.4 M  1.0  KVLA 
    KVLA  HL    2.1 319  S       07:39:33.59   0.1 M  1.0  KVLA 
    MRKA  HA    2.2 254  P       07:39:05.97  -0.4 M  1.0  MRKA 
    MRKA  HA    2.2 254  S       07:39:33.65  -0.3 M  1.0  MRKA 
    MRTH  HA    2.2 237  P       07:39:06.30  -0.2 M  1.0  MRTH 
    MRTH  HA    2.2 237  S       07:39:33.87  -0.2 M  1.0  MRTH 
    PTL   HL    2.3 236  P       07:39:07.45  -0.3 M  1.0  PTL  
    PTL   HL    2.3 236  S       07:39:36.35  -0.0 M  1.0  PTL  
    APE   HL    2.3 194  P       07:39:08.56  -0.1 M  1.0  APE  
    APE   HL    2.3 194  S       07:39:38.50   0.4 M  1.0  APE  
    NAX1  HI    2.3 197  P       07:39:09.01   0.3 M  1.0  NAX1 
    NAX1  HI    2.3 197  S       07:39:37.65  -0.5 M  1.0  NAX1 
    NEO   HL    2.3 270  P       07:39:09.18   0.3 M  1.0  NEO  
    GR09  1Y    2.4 305  P       07:39:09.46   0.2 M  1.0  GR09 
    GR09  1Y    2.4 305  S       07:39:38.75  -0.3 M  1.0  GR09 
    PLG   HL    2.4 297  P       07:39:10.18   0.6 M  1.0  PLG  
    PLG   HL    2.4 297  S       07:39:39.19  -0.4 M  1.0  PLG  
    GR26  1Y    2.4 248  P       07:39:09.34  -0.3 M  1.0  GR26 
    GR26  1Y    2.4 248  S       07:39:40.06   0.3 M  1.0  GR26 
    PRAS  HL    2.4 328  P       07:39:09.32  -0.3 M  1.0  PRAS 
    PRAS  HL    2.4 328  S       07:39:39.08  -0.7 M  1.0  PRAS 
    STFN  HA    2.4 242  P       07:39:10.03   0.3 M  1.0  STFN 
    STFN  HA    2.4 242  S       07:39:39.39  -0.6 M  1.0  STFN 

29 Station magnitudes:
    sta  net   dist azi  type   value   res        amp per
    PRK   HL    0.1 165  MLv     4.63 -0.13    1937.72      
    SIGR  HT    0.3 248  MLv     4.54 -0.22    360.845      
    MYT1  HI    0.4 133  MLv     5.01  0.25    825.555      
    CHOS  HT    1.0 189  MLv     4.89  0.13    114.396      
    EFSA  HL    1.0 283  MLv     4.83  0.07    95.5909      
    LIA   HL    1.0 305  MLv     4.27 -0.49     52.383      
    SMTH  HL    1.3 335  MLv     5.18  0.42    97.7842      
    KRL1  HI    1.6 166  MLv     4.95  0.19    59.0116      
    SMG   HL    1.7 164  MLv     4.95  0.19    51.3301      
    THAS  HT    1.7 318  MLv     4.80  0.04    35.1674      
    AOS2  HT    1.9 265  MLv     4.89  0.12    35.6175      
    RDO   HL    1.9 344  MLv     4.76  0.00    17.4598      
    GR04  1Y    1.9 330  MLv     4.69 -0.07    21.3537      
    KARY  HA    1.9 228  MLv     4.54 -0.22    15.0899      
    GR27  1Y    1.9 234  MLv     4.71 -0.05    21.3797      
    PAIG  HT    2.1 288  MLv     4.79  0.03    16.8895      
    GR03  1Y    2.1 331  MLv     4.58 -0.19    12.9831      
    KVLA  HL    2.1 319  MLv     4.61 -0.16    13.1088      
    MRKA  HA    2.2 254  MLv     4.82  0.06    21.2675      
    MRTH  HA    2.2 237  MLv     4.80  0.03    19.7409      
    PTL   HL    2.3 236  MLv     4.65 -0.11     12.597      
    APE   HL    2.3 194  MLv     4.56 -0.20    9.36192      
    NAX1  HI    2.3 197  MLv     4.48 -0.28    7.62489      
    NEO   HL    2.3 270  MLv     4.57 -0.19    13.0754      
    GR09  1Y    2.4 305  MLv     4.70 -0.06    12.3375      
    PLG   HL    2.4 297  MLv     4.54 -0.22    8.30881      
    GR26  1Y    2.4 248  MLv     4.93  0.17    20.0724      
    PRAS  HL    2.4 328  MLv     4.87  0.11    17.3922      
    STFN  HA    2.4 242  MLv     4.74 -0.02    12.7784